DLI LPC9 Object Model Reference
20220220T133147Z
System management object
objectsystem/
Object representing the system management state and configuration
dot_inline_dotgraph_765.png

Retrieving the value is denied if not administrative user

This object contains the following items:

timeTime
uptimeUptime
uploadsUploads
upload_fileUpload file
remove_uploaded_fileRemove uploaded file
verify_upgradeVerify upgrade image
upgradeUpgrade from file
apply_maintenance_fileApply maintenance file
apply_maintenance_codeApply maintenance code
enumerate_configurationEnumerate configuration
create_backupCreate backup of configuration
enumerate_backupEnumerate configuration from backup
known_backup_resolution_optionsKnown backup resolution options
resolve_backup_itemResolve backup item
resolve_backup_item_with_contentResolve backup item with custom content
restore_backupPerform restoration of configuration from backup
rebootReboot
notificationsNotifications

Sample JS request write command:

request.put({url:"system/",body:<...>});

Sample CLI write command:

uom set system ...

Browse more samples

Time

numbersystem/time/
The current system time
dot_inline_dotgraph_766.png

The value represents time, the standard unit of which is the second (s).

Retrieving the value is denied if not administrative user

Changing the value is denied if not administrative user

This number can change as if by itself or indirectly because of other actions.

Changes to this number cannot be tracked.

Sample uom library write command:

uom.system.time=1654733863.35

Sample uom library read command:

print(uom.dump(uom.system.time))

1740442621.01

Browse more samples

Uptime

numbersystem/uptime/
The time since latest system reboot
dot_inline_dotgraph_767.png

The value represents time, the standard unit of which is the second (s).

The value is subject to the following constraints: the value is greater or equal to 0

Retrieving the value is denied if not administrative user

This number does not support direct modification.

This number can change as if by itself or indirectly because of other actions.

Changes to this number cannot be tracked.

Sample requests read command:

print(requests.get('http://192.168.0.100/restapi/system/uptime/',auth=auth,headers=headers).json())

133187397.33

Sample uom library read command:

print(uom.dump(uom.system.uptime))

67513501.8

Browse more samples

Uploads

mapsystem/uploads/
Uploaded files
dot_inline_dotgraph_768.png

Retrieving the value is denied if not administrative user

This map does not support direct modification.

This map can change as if by itself or indirectly because of other actions.

Changes to this map cannot be tracked.

This map contains Expiration time elements.

Creating elements in this collection is not supported.

Sample requests read command:

print(requests.get('http://192.168.0.100/restapi/system/uploads/',auth=auth,headers=headers).json())

{'/tmp/uploads/.tmp-uploadcXltKO': 1800017038.88, '/tmp/uploads/.tmp-uploadN2ilPa': 1800017078.52}

Sample JS request read command:

request.get({url:"system/uploads/"},function(error,response,body) {console.log(body)});

{"/tmp/uploads/.tmp-uploadcNLExp":1800017097.46,"/tmp/uploads/.tmp-uploadft3Nen":1800017013.52,"/tmp/uploads/.tmp-upload1sGrqi":1800017075.76}

Browse more samples

Expiration time

numbersystem/uploads/S/
The time after which the file is to be deleted

The value represents time, the standard unit of which is the second (s).

The value is subject to the following constraints: the value is greater than 0

Sample uom library write command (note that _expiration_time is a variable):

uom.system.uploads[_expiration_time]=1800017095.58

Sample uom library read command (note that _expiration_time is a variable):

print(uom.dump(uom.system.uploads[_expiration_time]))

1800017045.42

Browse more samples

Upload file

callsystem/upload_file/
Store the file in temporary storage for a given amount of time
dot_inline_dotgraph_769.png

Performing the function call is denied if not administrative user

The call accepts the following arguments:

  1. Content: string
  2. Expiration: number

The call returns the following results:

  1. Filename: string

Sample uom library invocation:

print(uom.dump(uom.system.upload_file("",1800017034.15)))

"/tmp/uploads/.tmp-upload7QKB94"

Sample requests invocation:

print(requests.post('http://192.168.0.100/restapi/system/upload_file/',auth=auth,headers=headers,json=['', 1800017071.42]).json())

'/tmp/uploads/.tmp-uploadyE4bNQ'

Browse more samples

Content

stringsystem/upload_file/arguments: 1/
File content

The value contains application/octet-stream data.

This string does not correspond to an actual resource.

Expiration

numbersystem/upload_file/arguments: 2/
The time after which the file is to be deleted

The value represents time, the standard unit of which is the second (s).

The value is subject to the following constraints: the value is greater than 0

This number does not correspond to an actual resource.

Filename

stringsystem/upload_file/results: 1/
Name of the uploaded file
dot_inline_dotgraph_770.png

The value is subject to the following constraints: uploads[the value]

This string does not correspond to an actual resource.

Remove uploaded file

callsystem/remove_uploaded_file/
Remove file from temporary storage
dot_inline_dotgraph_771.png

Performing the function call is denied if not administrative user

The call accepts the following arguments:

  1. Filename: string

The call returns the following results:

  1. Empty result: null

Sample curl invocation:

curl --digest -u admin:1234 -H "X-CSRF: x" -H "Content-type: application/json" -H "Accept: application/json" --data-binary "[\"/tmp/uploads/.tmp-uploadFJzmXu\"]" "http://192.168.0.100/restapi/system/remove_uploaded_file/"

null

Sample CLI invocation:

uom invoke "system/remove_uploaded_file" "\"/tmp/uploads/.tmp-uploadZJi3sn\""

(no output)

Browse more samples

Filename

stringsystem/remove_uploaded_file/arguments: 1/
Name of the uploaded file to be removed (if invalid, the call has no effect)

This string does not correspond to an actual resource.

Empty result

constant nullsystem/remove_uploaded_file/results: 1/
No additional information available

This constant does not correspond to an actual resource.

Verify upgrade image

callsystem/verify_upgrade/
Check that system upgrade from a file in temporary storage is possible
dot_inline_dotgraph_772.png

Performing the function call is denied if any of the following is true:

The call accepts the following arguments:

  1. Filename: string

The call returns the following results:

  1. System upgrade verification status: (Succeeded or Failed,string)

Sample requests invocation:

print(requests.post('http://192.168.0.100/restapi/system/verify_upgrade/',auth=auth,headers=headers,json=['/tmp/uploads/.tmp-uploadXkzgyz']).json())

[False, 'verify_upgrade failed']

Sample uom library invocation:

print(uom.dump(uom.system.verify_upgrade("/tmp/uploads/.tmp-uploadukH7jK")))

{true,"verify_upgrade succeeded"}

Browse more samples

Filename

stringsystem/verify_upgrade/arguments: 1/
System upgrade image filename
dot_inline_dotgraph_773.png

The value is subject to the following constraints: uploads[the value]

This string does not correspond to an actual resource.

See also Verify upgrade image: System upgrade verification status

Verify upgrade image: System upgrade verification status

tuplesystem/verify_upgrade/results: 1/
Status of the system upgrade verification

This tuple does not correspond to an actual resource.

This tuple contains the following items:

1Status
2Message

Status

sum (boolean)system/verify_upgrade/results: 1/1/
Indicates whether the call succeeded

This sum does not correspond to an actual resource.

This sum can assume the following values:

constant trueSucceededThe call succeeded (but not necessarily completed)
constant falseFailedThe call failed (additional information in the message)

Message

stringsystem/verify_upgrade/results: 1/2/
Call status message

This string does not correspond to an actual resource.

Upgrade from file

callsystem/upgrade/
Perform system upgrade from a file in temporary storage
dot_inline_dotgraph_774.png

Performing the function call is denied if any of the following is true:

The call accepts the following arguments:

  1. Filename: string

The call returns the following results:

  1. System upgrade status: (Succeeded or Failed,string)

Sample uom library invocation:

print(uom.dump(uom.system.upgrade("/tmp/uploads/.tmp-uploadBLv3hb")))

{false,"upgrade failed"}

Sample curl invocation:

curl --digest -u admin:1234 -H "X-CSRF: x" -H "Content-type: application/json" -H "Accept: application/json" --data-binary "[\"/tmp/uploads/.tmp-uploadYqrzVF\"]" "http://192.168.0.100/restapi/system/upgrade/"

[true,"upgrade succeeded"]

Browse more samples

Filename

stringsystem/upgrade/arguments: 1/
System upgrade image filename
dot_inline_dotgraph_775.png

The value is subject to the following constraints: uploads[the value]

This string does not correspond to an actual resource.

See also Upgrade from file: System upgrade status

Upgrade from file: System upgrade status

tuplesystem/upgrade/results: 1/
Status of the system upgrade

This tuple does not correspond to an actual resource.

This tuple contains the following items:

1Status
2Message

Status

sum (boolean)system/upgrade/results: 1/1/
Indicates whether the call succeeded

This sum does not correspond to an actual resource.

This sum can assume the following values:

constant trueSucceededThe call succeeded (but not necessarily completed)
constant falseFailedThe call failed (additional information in the message)

Message

stringsystem/upgrade/results: 1/2/
Call status message

This string does not correspond to an actual resource.

Apply maintenance file

callsystem/apply_maintenance_file/
Perform maintenance from a file in temporary storage
dot_inline_dotgraph_776.png

Performing the function call is denied if any of the following is true:

The call accepts the following arguments:

  1. Filename: string
  2. Ask for confirmation: Enabled or Disabled

The call returns the following results:

  1. Maintenance status: (Succeeded or Failed,string)

Sample JS request invocation:

request.post({url:"system/apply_maintenance_file/",body:["/tmp/uploads/.tmp-uploadJ3fkdP",true]});

[false,"maintenance failed"]

Sample uom library invocation:

print(uom.dump(uom.system.apply_maintenance_file("/tmp/uploads/.tmp-uploadrtUzwB",false)))

{false,"maintenance failed"}

Browse more samples

Filename

stringsystem/apply_maintenance_file/arguments: 1/
Maintenance filename
dot_inline_dotgraph_777.png

The value is subject to the following constraints: uploads[the value]

This string does not correspond to an actual resource.

Ask for confirmation

sum (boolean)system/apply_maintenance_file/arguments: 2/
Ask the user for confirmation (if enabled in the maintenance package)

This sum does not correspond to an actual resource.

This sum can assume the following values:

constant trueEnabledThe feature is enabled
constant falseDisabledThe feature is disabled

See also Apply maintenance file: Maintenance status

Apply maintenance file: Maintenance status

tuplesystem/apply_maintenance_file/results: 1/
Status of the maintenance

This tuple does not correspond to an actual resource.

This tuple contains the following items:

1Status
2Message

Status

sum (boolean)system/apply_maintenance_file/results: 1/1/
Indicates whether the call succeeded

This sum does not correspond to an actual resource.

This sum can assume the following values:

constant trueSucceededThe call succeeded (but not necessarily completed)
constant falseFailedThe call failed (additional information in the message)

Message

stringsystem/apply_maintenance_file/results: 1/2/
Call status message

This string does not correspond to an actual resource.

Apply maintenance code

callsystem/apply_maintenance_code/
Perform maintenance using a code
dot_inline_dotgraph_778.png

Performing the function call is denied if any of the following is true:

The call accepts the following arguments:

  1. Code: string
  2. Ask for confirmation: Enabled or Disabled

The call returns the following results:

  1. Maintenance status: (Succeeded or Failed,string)

Sample JS request invocation:

request.post({url:"system/apply_maintenance_code/",body:["GQWF(\\$PL;JU{\\`ck`tsaWYPFGZci@\\",true]});

[false,"maintenance failed"]

Sample uom library invocation:

print(uom.dump(uom.system.apply_maintenance_code("Fc$aR14ea`] .[=D(@<2F#*5);u\"n\"x",true)))

{true,"maintenance succeeded"}

Browse more samples

Code

stringsystem/apply_maintenance_code/arguments: 1/
Maintenance code

This string does not correspond to an actual resource.

Ask for confirmation

sum (boolean)system/apply_maintenance_code/arguments: 2/
Ask the user for confirmation (if enabled in the maintenance package)

This sum does not correspond to an actual resource.

This sum can assume the following values:

constant trueEnabledThe feature is enabled
constant falseDisabledThe feature is disabled

See also Apply maintenance code: Maintenance status

Apply maintenance code: Maintenance status

tuplesystem/apply_maintenance_code/results: 1/
Status of the maintenance

This tuple does not correspond to an actual resource.

This tuple contains the following items:

1Status
2Message

Status

sum (boolean)system/apply_maintenance_code/results: 1/1/
Indicates whether the call succeeded

This sum does not correspond to an actual resource.

This sum can assume the following values:

constant trueSucceededThe call succeeded (but not necessarily completed)
constant falseFailedThe call failed (additional information in the message)

Message

stringsystem/apply_maintenance_code/results: 1/2/
Call status message

This string does not correspond to an actual resource.

Enumerate configuration

callsystem/enumerate_configuration/
Retrieve a map of the currently existing configuration elements and their state
dot_inline_dotgraph_779.png

Performing the function call is denied if not administrative user

The call has no arguments (supply empty tuple).

The call returns the following results:

  1. Elements: map of "object "Element""

Sample CLI invocation:

uom invoke "system/enumerate_configuration"

{"/etc/soyIfwkAG":{"name":"List settings","modified":false,"mode":"--w-rw---x","orig_mode":"--w-rw---x","private":false},"/etc/d2y7D5GI4DX":{"name":"SNMP settings","modified":true,"mode":null,"orig_mode":"----rw--wx","private":false}}

Sample uom library invocation:

print(uom.dump(uom.system.enumerate_configuration()))

Browse more samples

Elements

mapsystem/enumerate_configuration/results: 1/
Currently known configuration elements
dot_inline_dotgraph_780.png

This map does not correspond to an actual resource.

This map contains Element elements.

See also Elements: Element

Elements: Element

objectsystem/enumerate_configuration/results: 1/S/
Configuration element state

This object does not correspond to an actual resource.

This object contains the following items:

nameName
modeElement mode, if any
orig_modeOriginal element mode, if any
modifiedModification flag
privateSensitive information flag

Name

stringsystem/enumerate_configuration/results: 1/S/name/
Human-readable element name

This string does not correspond to an actual resource.

Element mode, if any

sum (optional string)system/enumerate_configuration/results: 1/S/mode/
Current element file mode, if any

This sum does not correspond to an actual resource.

This sum can assume the following values:

constant nullAbsentThe element is absent
stringFileRegular filethe value matches ^-[r-][w-][xsS-][r-][w-][xsS-][r-][w-][xtT-]$
stringDirectoryDirectory or other logical grouping of filesthe value matches ^d[r-][w-][xsS-][r-][w-][xsS-][r-][w-][xtT-]$
constant "lrwxrwxrwx"SymlinkSymbolic link to location in data

Original element mode, if any

sum (optional string)system/enumerate_configuration/results: 1/S/orig_mode/
Factory default element file mode, if any

This sum does not correspond to an actual resource.

This sum can assume the following values:

constant nullAbsentThe element was absent
stringFileRegular filethe value matches ^-[r-][w-][xsS-][r-][w-][xsS-][r-][w-][xtT-]$
stringDirectoryDirectory or other logical grouping of filesthe value matches ^d[r-][w-][xsS-][r-][w-][xsS-][r-][w-][xtT-]$
constant "lrwxrwxrwx"SymlinkSymbolic link to location in data

Modification flag

sum (boolean)system/enumerate_configuration/results: 1/S/modified/
Flag indicating if the element has been modified from the factory default configuration

This sum does not correspond to an actual resource.

This sum can assume the following values:

constant trueModifiedThe element was modified
constant falseOriginalThe element was not modified

Sensitive information flag

sum (boolean)system/enumerate_configuration/results: 1/S/private/
Flag indicating if the element may contain sensitive information

This sum does not correspond to an actual resource.

This sum can assume the following values:

constant truePrivateThe element may contain sensitive information
constant falseOrdinaryThe element likely doesn't contain sensitive information

Create backup of configuration

callsystem/create_backup/
Create a backup of selected parts of the current configuration
dot_inline_dotgraph_781.png

Performing the function call is denied if not administrative user

The call accepts the following arguments:

  1. Elements: map of "true"

The call returns the following results:

  1. Content type: string
  2. Content: string

Sample uom library invocation:

print(uom.dump(uom.system.create_backup({/etc/PVIjHRlrlIS=true,/src/9s5NDR=true})))

"application/octet-stream"

Sample requests invocation:

print(requests.post('http://192.168.0.100/restapi/system/create_backup/',auth=auth,headers=headers,json=[{'/storage/pqbMDEThWT': True, '/etc/config/bklys5': True, '/etc/Ys516TyGY': True, '/etc/hC0X': True}]).json())

'application/octet-stream'

Browse more samples

See also Create backup of configuration: Elements

Content type

constant "application/octet-stream"system/create_backup/results: 1/
The content type of the generated backup

The value is subject to the following constraints: the value is equal to application/octet-stream

This constant does not correspond to an actual resource.

Content

stringsystem/create_backup/results: 2/
File content

The value contains application/octet-stream data.

This string does not correspond to an actual resource.

Create backup of configuration: Elements

mapsystem/create_backup/arguments: 1/
Configuration elements chosen for backup

This map does not correspond to an actual resource.

This map contains Chosen elements.

Chosen

constant truesystem/create_backup/arguments: 1/S/
The element is chosen to be backed up

This constant does not correspond to an actual resource.

Enumerate configuration from backup

callsystem/enumerate_backup/
Compare backup contents to current configuration state and return resolution status
dot_inline_dotgraph_782.png

Performing the function call is denied if any of the following is true:

The call accepts the following arguments:

  1. Filename: string
  2. File filter: All, None, Resolved, Unresolved, Next unresolved or array of "string"
  3. Return options: Enabled or Disabled

The call returns the following results:

  1. Enumeration result: map of "object "Element"" or Enumeration failure

Sample uom library invocation:

print(uom.dump(uom.system.enumerate_backup("/tmp/uploads/.tmp-uploadryfQQk","unresolved",false)))

"application/octet-stream"

Sample JS request invocation:

request.post({url:"system/enumerate_backup/",body:["/tmp/uploads/.tmp-upload5YTK1w",false,false]});

"application/octet-stream"

Browse more samples

Filename

stringsystem/enumerate_backup/arguments: 1/
Backup filename
dot_inline_dotgraph_783.png

The value is subject to the following constraints: uploads[the value]

This string does not correspond to an actual resource.

File filter

sum (variant)system/enumerate_backup/arguments: 2/
The set of files to be returned
dot_inline_dotgraph_784.png

This sum does not correspond to an actual resource.

This sum can assume the following values:

constant trueAllReturn information on all of the files
constant falseNoneReturn no information on the files, just check that the backup is valid
constant "resolved"ResolvedReturn information on all resolved files
constant "unresolved"UnresolvedReturn information on all unresolved files
constant "next_unresolved"Next unresolvedReturn information on the next set of unresolved files intended to be treated as a group
arraySelectedReturn information on the files in this array

See also File filter: Selected

Return options

sum (boolean)system/enumerate_backup/arguments: 3/
Return options for unresolved elements

This sum does not correspond to an actual resource.

This sum can assume the following values:

constant trueEnabledThe feature is enabled
constant falseDisabledThe feature is disabled

Enumeration result

sum (variant)system/enumerate_backup/results: 1/
Backup enumeration result
dot_inline_dotgraph_785.png

This sum does not correspond to an actual resource.

This sum can assume the following values:

mapElementsBackup configuration elements
stringEnumeration failureEnumeration failure status message

See also Enumeration result: Elements

File filter: Selected

(possibly) arraysystem/enumerate_backup/arguments: 2/
Return information on the files in this array

This array does not correspond to an actual resource.

This array contains Filename elements.

Filename

stringsystem/enumerate_backup/arguments: 2/N/
Return information on this file

This string does not correspond to an actual resource.

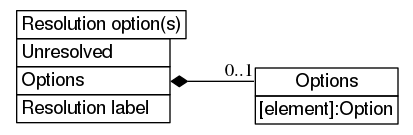
Resolution option(s): Options

(possibly) mapsystem/enumerate_backup/results: 1/S/resolution/
Resolution options
dot_inline_dotgraph_786.png

This map does not correspond to an actual resource.

This map contains Option elements.

Option

objectsystem/enumerate_backup/results: 1/S/resolution/S/
Resolution option

This object does not correspond to an actual resource.

This object contains the following items:

providedPresence flag
modeElement mode, if any
dataData
badnessBadness

Presence flag

sum (boolean)system/enumerate_backup/results: 1/S/resolution/S/provided/
Flag indicating if the element data is provided in the response

This sum does not correspond to an actual resource.

This sum can assume the following values:

constant truePresentThe element data is provided
constant falseAbsentThe element data is not provided

Element mode, if any

sum (optional string)system/enumerate_backup/results: 1/S/resolution/S/mode/
Element file mode in this resolution option, if any

This sum does not correspond to an actual resource.

This sum can assume the following values:

constant nullAbsentThe element does not exist
stringFileRegular filethe value matches ^-[r-][w-][xsS-][r-][w-][xsS-][r-][w-][xtT-]$
stringDirectoryDirectory or other logical grouping of filesthe value matches ^d[r-][w-][xsS-][r-][w-][xsS-][r-][w-][xtT-]$
constant "lrwxrwxrwx"SymlinkSymbolic link to location in data

Data

stringsystem/enumerate_backup/results: 1/S/resolution/S/data/
Element data, if exists and provided (or empty otherwise)

This string does not correspond to an actual resource.

Badness

numbersystem/enumerate_backup/results: 1/S/resolution/S/badness/
Relative extent of resolution option demerit

This number does not correspond to an actual resource.

Enumeration result: Elements

(possibly) mapsystem/enumerate_backup/results: 1/
Backup configuration elements
dot_inline_dotgraph_787.png

This map does not correspond to an actual resource.

This map contains Element elements.

Element

objectsystem/enumerate_backup/results: 1/S/
Backup element data

This object does not correspond to an actual resource.

This object contains the following items:

nameName, if any
group_nameGroup name, if any
resolutionResolution option(s)

Name, if any

sum (optional string)system/enumerate_backup/results: 1/S/name/
Human-readable element name, if any

This sum does not correspond to an actual resource.

This sum can assume the following values:

constant nullUnknownThis element is not known
stringNameHuman-readable element name

Group name, if any

sum (optional string)system/enumerate_backup/results: 1/S/group_name/
Human-readable element group name, if any

This sum does not correspond to an actual resource.

This sum can assume the following values:

constant nullNoneThis element does not belong to a group
stringGroup nameHuman-readable element group name

Resolution option(s)

sum (variant)system/enumerate_backup/results: 1/S/resolution/
Resolution for resolved elements, or options for unresolved ones if requested
dot_inline_dotgraph_788.png

This sum does not correspond to an actual resource.

This sum can assume the following values:

constant falseUnresolvedThe element is resolved and option information not requested
mapOptionsResolution options
stringResolution labelLabel for a resolved backup element for reference

See also Resolution option(s): Options

Known backup resolution options

mapsystem/known_backup_resolution_options/
Known methods of resolving file content
dot_inline_dotgraph_789.png

Retrieving the value is denied if not administrative user

This map is composite, i.e. is modified as a whole.

This map does not support direct modification.

This map contains Resolution option elements.

Creating elements in this collection is not supported.

Sample CLI read command:

uom get "system/known_backup_resolution_options"

Sample JS request read command:

request.get({url:"system/known_backup_resolution_options/"},function(error,response,body) {console.log(body)});

Browse more samples

See also Known backup resolution options: Resolution option

Known backup resolution options: Resolution option

objectsystem/known_backup_resolution_options/S/
Resolution option traits

This object is a part of a composite value which is modified as a whole.

This object contains the following items:

actionAction
labelLabel
resultResult

Sample JS request read command (note that _resolution_option is a variable):

request.get({url:"system/known_backup_resolution_options/"+_resolution_option+"/"},function(error,response,body) {console.log(body)});

{"result":"replaced","action":"replace with backup file","label":"backup file"}

Sample curl write command (note that :resolution_option is a URL template argument):

curl --digest -u admin:1234 -H "X-CSRF: x" -X PUT -H "Content-type: application/json" -H "Accept: application/json" --data-binary "{\"result\":\"unchanged\",\"action\":\"keep current file\",\"label\":\"current file\"}" "http://192.168.0.100/restapi/system/known_backup_resolution_options/:resolution_option/"

Browse more samples

Action

stringsystem/known_backup_resolution_options/S/action/
Backup resolution method action description

This string is a part of a composite value which is modified as a whole.

Sample JS request write command (note that _resolution_option is a variable):

request.put({url:"system/known_backup_resolution_options/"+_resolution_option+"/action/",body:"apply our changes to backup original file"});

Sample uom library write command (note that _resolution_option is a variable):

uom.system.known_backup_resolution_options[_resolution_option].action="replace with backup file"

Browse more samples

Label

stringsystem/known_backup_resolution_options/S/label/
Backup resolution method label

This string is a part of a composite value which is modified as a whole.

Sample CLI read command (note that resolution_option is a variable):

uom get "system/known_backup_resolution_options/${resolution_option}/label"

"backup file"

Sample requests write command (note that _resolution_option is a variable):

requests.put('http://192.168.0.100/restapi/system/known_backup_resolution_options/'+_resolution_option+'/label/',auth=auth,headers=headers,json='backup file with current changes')

Browse more samples

Result

stringsystem/known_backup_resolution_options/S/result/
Backup resolution method resolution description

This string is a part of a composite value which is modified as a whole.

Sample uom library write command (note that _resolution_option is a variable):

uom.system.known_backup_resolution_options[_resolution_option].result="merged"

Sample CLI write command (note that resolution_option is a variable):

uom set "system/known_backup_resolution_options/${resolution_option}/result" "\"replaced\""

Browse more samples

Resolve backup item

callsystem/resolve_backup_item/
Provide a resolution on an item
dot_inline_dotgraph_790.png

Performing the function call is denied if any of the following is true:

The call accepts the following arguments:

  1. Filename: string
  2. Item, if any: All unresolved items or Item
  3. Resolution option: string
  4. Resolution label, if any: Default label or Resolution label

The call returns the following results:

  1. Backup item resolution status: (Succeeded or Failed,string)

Sample requests invocation:

print(requests.post('http://192.168.0.100/restapi/system/resolve_backup_item/',auth=auth,headers=headers,json=['/tmp/uploads/.tmp-uploaddP0EMi', '/etc/-hK80GrMF3M', 'our_orig_and_their_diff', 'their file ']).json())

[False, 'resolve failed']

Sample uom library invocation:

print(uom.dump(uom.system.resolve_backup_item("/tmp/uploads/.tmp-uploadFmN1ut","/storage/vZCKH0-t-","our_orig_and_their_diff",null)))

{false,"resolve failed"}

Browse more samples

Filename

stringsystem/resolve_backup_item/arguments: 1/
Backup filename
dot_inline_dotgraph_791.png

The value is subject to the following constraints: uploads[the value]

This string does not correspond to an actual resource.

Item, if any

sum (optional string)system/resolve_backup_item/arguments: 2/
Backup item, if any

This sum does not correspond to an actual resource.

This sum can assume the following values:

constant nullAll unresolved itemsProvide a resolution on all unresolved items where applicable
stringItemBackup item

Resolution option

stringsystem/resolve_backup_item/arguments: 3/
Backup item resolution option
dot_inline_dotgraph_792.png

The value is subject to the following constraints: known backup resolution options[the value]

This string does not correspond to an actual resource.

Resolution label, if any

sum (optional string)system/resolve_backup_item/arguments: 4/
Backup item resolution label for reference, if any

This sum does not correspond to an actual resource.

This sum can assume the following values:

constant nullDefault labelUse the default resolution option label
stringResolution labelBackup item resolution label for reference

See also Resolve backup item: Backup item resolution status

Resolve backup item: Backup item resolution status

tuplesystem/resolve_backup_item/results: 1/
Status of the backup item resolution

This tuple does not correspond to an actual resource.

This tuple contains the following items:

1Status
2Message

Status

sum (boolean)system/resolve_backup_item/results: 1/1/
Indicates whether the call succeeded

This sum does not correspond to an actual resource.

This sum can assume the following values:

constant trueSucceededThe call succeeded (but not necessarily completed)
constant falseFailedThe call failed (additional information in the message)

Message

stringsystem/resolve_backup_item/results: 1/2/
Call status message

This string does not correspond to an actual resource.

Resolve backup item with custom content

callsystem/resolve_backup_item_with_content/
Provide a custom decision on an item (may not always be possible)
dot_inline_dotgraph_793.png

Performing the function call is denied if any of the following is true:

The call accepts the following arguments:

  1. Filename: string
  2. Item: string
  3. Data: string
  4. Resolution label: string

The call returns the following results:

  1. Backup item resolution status: (Succeeded or Failed,string)

Sample uom library invocation:

print(uom.dump(uom.system.resolve_backup_item_with_content("/tmp/uploads/.tmp-uploadZX7c4q","/src/ccetrBVjm_","-rwx---rw-","e0","our orig ")))

{false,"resolve failed"}

Sample curl invocation:

curl --digest -u admin:1234 -H "X-CSRF: x" -H "Content-type: application/json" -H "Accept: application/json" --data-binary "[\"/tmp/uploads/.tmp-uploadbsBBKk\",\"/src/S3jKbCAQalOf\",\"-r-xrwxrw-\",\"52\",\"our diff and their diff\"]" "http://192.168.0.100/restapi/system/resolve_backup_item_with_content/"

[true,"resolve succeeded"]

Browse more samples

Filename

stringsystem/resolve_backup_item_with_content/arguments: 1/
Backup filename
dot_inline_dotgraph_794.png

The value is subject to the following constraints: uploads[the value]

This string does not correspond to an actual resource.

Item

stringsystem/resolve_backup_item_with_content/arguments: 2/
Backup item

This string does not correspond to an actual resource.

Data

stringsystem/resolve_backup_item_with_content/arguments: 3/
Element data, if exists (or empty otherwise)

This string does not correspond to an actual resource.

Resolution label

stringsystem/resolve_backup_item_with_content/arguments: 4/
Backup item resolution label for reference

This string does not correspond to an actual resource.

See also Resolve backup item with custom content: Backup item resolution status

Resolve backup item with custom content: Backup item resolution status

tuplesystem/resolve_backup_item_with_content/results: 1/
Status of the backup item resolution

This tuple does not correspond to an actual resource.

This tuple contains the following items:

1Status
2Message

Status

sum (boolean)system/resolve_backup_item_with_content/results: 1/1/
Indicates whether the call succeeded

This sum does not correspond to an actual resource.

This sum can assume the following values:

constant trueSucceededThe call succeeded (but not necessarily completed)
constant falseFailedThe call failed (additional information in the message)

Message

stringsystem/resolve_backup_item_with_content/results: 1/2/
Call status message

This string does not correspond to an actual resource.

Perform restoration of configuration from backup

callsystem/restore_backup/
Apply restoration of resolved configuration backup items and reboot
dot_inline_dotgraph_795.png

Performing the function call is denied if any of the following is true:

The call accepts the following arguments:

  1. Filename: string

The call returns the following results:

  1. Backup restore status: (Succeeded or Failed,string)

Sample JS request invocation:

request.post({url:"system/restore_backup/",body:["/tmp/uploads/.tmp-uploadrW9ODX"]});

[true,"restore succeeded"]

Sample uom library invocation:

print(uom.dump(uom.system.restore_backup("/tmp/uploads/.tmp-upload5AdiUP")))

{false,"restore failed"}

Browse more samples

Filename

stringsystem/restore_backup/arguments: 1/
Backup filename
dot_inline_dotgraph_796.png

The value is subject to the following constraints: uploads[the value]

This string does not correspond to an actual resource.

See also Perform restoration of configuration from backup: Backup restore status

Perform restoration of configuration from backup: Backup restore status

tuplesystem/restore_backup/results: 1/
Status of the backup restore

This tuple does not correspond to an actual resource.

This tuple contains the following items:

1Status
2Message

Status

sum (boolean)system/restore_backup/results: 1/1/
Indicates whether the call succeeded

This sum does not correspond to an actual resource.

This sum can assume the following values:

constant trueSucceededThe call succeeded (but not necessarily completed)
constant falseFailedThe call failed (additional information in the message)

Message

stringsystem/restore_backup/results: 1/2/
Call status message

This string does not correspond to an actual resource.

Reboot

callsystem/reboot/
Reboot the unit
dot_inline_dotgraph_797.png

Performing the function call is denied if not administrative user

The call has no arguments (supply empty tuple).

The call returns the following results:

  1. Empty result: null

Sample JS request invocation:

request.post({url:"system/reboot/",body:[]});

(no output)

Sample uom library invocation:

uom.system.reboot()

(no output)

Browse more samples

Empty result

constant nullsystem/reboot/results: 1/
No additional information available

This constant does not correspond to an actual resource.

Notifications

objectsystem/notifications/
System-related notifications
dot_inline_dotgraph_798.png

Retrieving the value is denied if not administrative user

This object does not support direct modification.

This object contains the following items:

parameter_kindsParameter kinds
eventsEvents

Sample curl read command:

curl --digest -u admin:1234 -H "Accept: application/json" "http://192.168.0.100/restapi/system/notifications/"

Sample JS request read command:

request.get({url:"system/notifications/"},function(error,response,body) {console.log(body)});

Browse more samples

See also Notifications: Parameter kinds

Events

mapsystem/notifications/events/
Event templates
dot_inline_dotgraph_799.png

Retrieving the value is denied if not administrative user

This map is composite, i.e. is modified as a whole.

This map does not support direct modification.

This map contains Event elements.

Creating elements in this collection is not supported.

Sample requests read command:

print(requests.get('http://192.168.0.100/restapi/system/notifications/events/',auth=auth,headers=headers).json())

Sample CLI read command:

uom get "system/notifications/events"

Browse more samples

See also Events: Event

Notifications: Parameter kinds

objectsystem/notifications/parameter_kinds/
Kinds of event parameters

This object does not correspond to an actual resource.

This object contains the following items:

filenameFilename

Filename

stringsystem/notifications/parameter_kinds/filename/
Path to the file involved

Event parameters: Event parameter

objectsystem/notifications/events/S/parameters/N/
Properties of a parameter associated with the event

This object is a part of a composite value which is modified as a whole.

This object contains the following items:

idIdentifier
has_fixed_valueFixed value flag
fixed_valueFixed value

Sample curl write command (note that :event and :event_parameter_index are URL template arguments):

curl --digest -u admin:1234 -H "X-CSRF: x" -X PUT -H "Content-type: application/json" -H "Accept: application/json" --data-binary "{\"has_fixed_value\":false,\"id\":\"filename\"}" "http://192.168.0.100/restapi/system/notifications/events/:event/parameters/:event_parameter_index/"

Sample JS request read command (note that _event and _event_parameter_index are variables):

request.get({url:"system/notifications/events/"+_event+"/parameters/"+_event_parameter_index.toString()+"/"},function(error,response,body) {console.log(body)});

[]

Browse more samples

Identifier

stringsystem/notifications/events/S/parameters/N/id/
Parameter identifier
dot_inline_dotgraph_800.png

The value is subject to the following constraints: parameter kinds[the value]

Retrieving the value is denied if not administrative user

This string is a part of a composite value which is modified as a whole.

This string does not support direct modification.

Sample requests read command (note that _event and _event_parameter_index are variables):

print(requests.get('http://192.168.0.100/restapi/system/notifications/events/'+_event+'/parameters/'+str(_event_parameter_index)+'/id/',auth=auth,headers=headers).json())

'filename'

Sample uom library read command (note that _event and _event_parameter_index are variables):

print(uom.dump(uom.system.notifications.events[_event].parameters[_event_parameter_index].id))

"filename"

Browse more samples

Fixed value flag

sum (boolean)system/notifications/events/S/parameters/N/has_fixed_value/
Flag indicating that the parameter's value for this event is fixed
dot_inline_dotgraph_801.png

Retrieving the value is denied if not administrative user

This sum is a part of a composite value which is modified as a whole.

This sum does not support direct modification.

This sum can assume the following values:

constant trueFixedThe value is fixed
constant falseVariableThe value is variable

Sample curl read command (note that :event and :event_parameter_index are URL template arguments):

curl --digest -u admin:1234 -H "Accept: application/json" "http://192.168.0.100/restapi/system/notifications/events/:event/parameters/:event_parameter_index/has_fixed_value/"

false

Sample requests read command (note that _event and _event_parameter_index are variables):

print(requests.get('http://192.168.0.100/restapi/system/notifications/events/'+_event+'/parameters/'+str(_event_parameter_index)+'/has_fixed_value/',auth=auth,headers=headers).json())

False

Browse more samples

Fixed value

sum (variant)system/notifications/events/S/parameters/N/fixed_value/
Fixed parameter value for this particular event
dot_inline_dotgraph_802.png

Retrieving the value is denied if not administrative user

This sum is a part of a composite value which is modified as a whole.

This sum does not support direct modification.

This sum can assume the following values:

constant nullNullNull
constant trueTrueTrue
constant falseFalseFalse
stringStringThis string
numberNumberThis number

Sample uom library read command (note that _event and _event_parameter_index are variables):

print(uom.dump(uom.system.notifications.events[_event].parameters[_event_parameter_index].fixed_value))

{}

Sample curl read command (note that :event and :event_parameter_index are URL template arguments):

curl --digest -u admin:1234 -H "Accept: application/json" "http://192.168.0.100/restapi/system/notifications/events/:event/parameters/:event_parameter_index/fixed_value/"

[]

Browse more samples

Events: Event

objectsystem/notifications/events/S/
Event template
dot_inline_dotgraph_803.png

This object is a part of a composite value which is modified as a whole.

This object contains the following items:

message_templateMessage template
severitySeverity
parametersEvent parameters

Sample curl read command (note that :event is a URL template argument):

curl --digest -u admin:1234 -H "Accept: application/json" "http://192.168.0.100/restapi/system/notifications/events/:event/"

{"severity":4,"message_template":["upload ",0," deleted due to inactivity"],"parameters":[{"has_fixed_value":false,"id":"filename"}]}

Sample uom library write command (note that _event is a variable):

uom.system.notifications.events[_event]={message_template={"backup restore initiated (",0,")"},parameters={{has_fixed_value=false,id="filename"}},severity=6}

Browse more samples

Message template

arraysystem/notifications/events/S/message_template/
Template for human-readable message generation
dot_inline_dotgraph_804.png

Retrieving the value is denied if not administrative user

This array is a part of a composite value which is modified as a whole.

This array does not support direct modification.

This array contains Message template element elements.

Creating elements in this collection is not supported.

Sample CLI read command (note that event is a variable):

uom get "system/notifications/events/${event}/message_template"

["maintenance mode entered (",0,")"]

Sample curl read command (note that :event is a URL template argument):

curl --digest -u admin:1234 -H "Accept: application/json" "http://192.168.0.100/restapi/system/notifications/events/:event/message_template/"

["system upgrade initiated (",0,")"]

Browse more samples

Message template element

sum (variant)system/notifications/events/S/message_template/N/
Element of human-readable message template
dot_inline_dotgraph_805.png

Retrieving the value is denied if not administrative user

This sum is a part of a composite value which is modified as a whole.

This sum does not support direct modification.

This sum can assume the following values:

stringStringFixed string
numberParameterIndex of message parameter to insertevent parameters[the value]

Sample curl read command (note that :event and :message_template_element_index are URL template arguments):

curl --digest -u admin:1234 -H "Accept: application/json" "http://192.168.0.100/restapi/system/notifications/events/:event/message_template/:message_template_element_index/"

0

Sample requests read command (note that _event and _message_template_element_index are variables):

print(requests.get('http://192.168.0.100/restapi/system/notifications/events/'+_event+'/message_template/'+str(_message_template_element_index)+'/',auth=auth,headers=headers).json())

0

Browse more samples

Severity

sum (enumerated number)system/notifications/events/S/severity/
Severity rating assigned to the event
dot_inline_dotgraph_806.png

Retrieving the value is denied if not administrative user

This sum is a part of a composite value which is modified as a whole.

This sum does not support direct modification.

This sum can assume the following values:

constant 1EmergencyTreat the event as an emergency
constant 2AlertTreat the event as an alert
constant 3CriticalTreat the event as critical
constant 4ErrorTreat the event as an error
constant 5WarningTreat the event as a warning
constant 6NoticeTreat the event as a notice
constant 7InformationalTreat the event as informational
constant 8DebugTreat the event as debugging-related

Sample JS request read command (note that _event is a variable):

request.get({url:"system/notifications/events/"+_event+"/severity/"},function(error,response,body) {console.log(body)});

6

Sample requests read command (note that _event is a variable):

print(requests.get('http://192.168.0.100/restapi/system/notifications/events/'+_event+'/severity/',auth=auth,headers=headers).json())

6

Browse more samples

Event parameters

arraysystem/notifications/events/S/parameters/
Additional data associated with the event
dot_inline_dotgraph_807.png

Retrieving the value is denied if not administrative user

This array is a part of a composite value which is modified as a whole.

This array does not support direct modification.

This array contains Event parameter elements.

Creating elements in this collection is not supported.

Sample JS request read command (note that _event is a variable):

request.get({url:"system/notifications/events/"+_event+"/parameters/"},function(error,response,body) {console.log(body)});

[]

Sample curl read command (note that :event is a URL template argument):

curl --digest -u admin:1234 -H "Accept: application/json" "http://192.168.0.100/restapi/system/notifications/events/:event/parameters/"

[{"has_fixed_value":false,"id":"filename"}]

Browse more samples

See also Event parameters: Event parameter